四川垦业科技发展有限公司 免费店铺 1年
*产品名称:
*应用领域:
*索样有效期:
*拿样数量:
*收货信息:
*详细地址:
*联系电话:
*收货人姓名:
*企业名称:

KYSWCNT-TBC301是一种基于单壁碳纳米管SWCNT,专门设计用于无溶剂环氧树脂和无溶剂聚氨酯体系的导电添加剂。只需极低剂量的添加,即可达到优异的抗静电、导电性能,采用KYSWCNT-TBC301可最大限度的保持基体材料原有的流变性能和力学性能,同时使基体材料能够保持原有的色彩。


分散液技术指标:
*材料可能包含粒径>100um的颗粒物,比例不超过0.1%
产品应用:
* 防静电地坪
* 防静电矿用管
* 电子仪器壳体静电消散涂层
* 其它需要材料具有导电性能的场景
产品优势:
* 极低的添加剂量
* 均匀的导电特性分布
* 保持基体材料的机械性能
* 永久导电性能
* 可生产彩色的导电部件
使用方式:
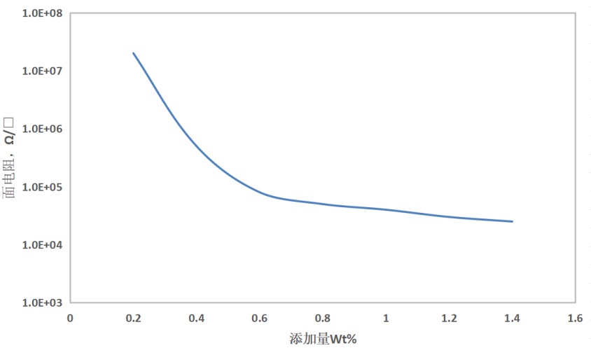
根据基体材料的特性及加工条件,KYSWCNT-TBC301在抗静电或导电消散应用中的建议添加范围0.1wt%-3.0wt%。具体添加量需综合考虑性能要求、基体材料、加工条件等。下图展示了将KYSWCNT-TBC301与DER351环氧树脂混合,并涂敷层薄膜的面电阻曲线。稀释过程采用机械顶置搅拌器完成,薄膜厚度为100um。

图 1 添加量与面电阻对应曲线1
B.添加工艺参考:
添加量建议<3wt%,采用顶置机械搅拌器进行稀释,搅拌桨优先选用分散盘,图2。搅拌最低转速参考表2。

图2:搅拌参考
表2 最低搅拌转速参考*

存储运输
1. 运输过程应轻装轻卸 , 防止过度压实 ,严禁抛掷。
2. 防止日晒雨淋、禁止与液体或腐蚀性、强氧化性物品混装共运。
3.储存于阴凉通风干燥的库房内 ,保持包装容器密封 ,拆封后立即使用。若未能一次使用完毕 ,务必保持包装可靠密封 ,防止水分蒸发 ,确保产品处于最佳使用状态。
包装方法:
2.1 粉末包装方式:1g/瓶,10g/瓶,100g/袋;
2.2 液体包装方式:500ML/瓶,1KG/瓶,5KG/桶(氟化瓶);



买化塑为第三方交易平台及互联网信息服务提供者,买化塑(含网站、客户端等)所展示的商品/服务的标题、价格、详情等信息内容系由商铺经营者发布,其真实性、准确性和合法性均由商铺经营者负责;
买化塑提醒您购买商品/服务前注意谨慎核实,如您对商品/服务的标题、价格、详情等任何信息有任何疑问的,请在购买前与商铺经营者沟通确认;
买化塑存在海量商铺,如您发现商铺内有任何违法/侵权信息,请立即向买化塑举报并提供有效线索。
四川垦业科技发展有限公司
0/150
*联系人: *采购数量: *有效时间: 扫码后并在微信搜索公众号「买化塑智慧商铺」
进行关注,询价结果将由公众号推送